Examples
In the following, some example simulation that rely on Verilog-A defined compact models are shown. The Verilog-A models are compiled with OpenVAF and Ngspice is used for simulation. For this purpose, please install Ngspice as is explained on the Ngspice website.
You can obtain the sourecode for this version by running the following commands:
git clone git://git.code.sf.net/p/ngspice/ngspice
cd ngspice
git checkout pre-master
Example 1: HICUM/L2 Model
This example demonstrates how to simulate the HICUM/L2 model using OpenVAF.
First, create a folder that will be used for the simulation.
In this folder, place the following three files:
- The netlist shown below, which you can also download here.
- The model parameter file model.l that specifies the model parameters and can be downloaded here.
- The hicumL2V3p0p0.va Verilog-A source file that you can download here.
OSDI Example
VB B 0 DC 0.1 AC 1 SIN (0.5 0.4 1M)
VC C 0 DC 1
.model npn_full_sh hicuml2va
.include model.l
N1 C B 0 0 npn_full_sh
.control
pre_osdi hicumL2V3p0p0.osdi
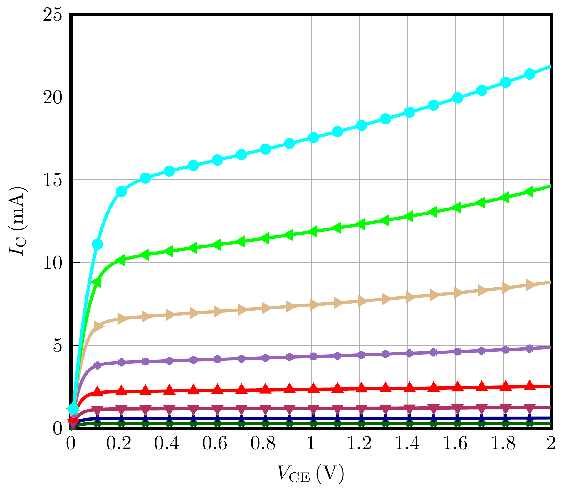
dc VC 0 2 0.01 VB 0.65 0.9 0.05 ;
plot -i(VC)
.endc
.end
This netlist specifies a bipolar transistor that uses the model hicuml2va which is defined in the Verilog-A source file. The Verilog-A model is made available to Ngspice using the pre_osdi command.
For generating the osdi file you must compile the Verilog-A code by running
openvaf hicumL2V3p0p0.va
in the simulation folder. This will generate the hicumL2V3p0p0.osdi file. Now you can run the circuit simulation using
ngspice netlist_osdi.sp
and the output characteristics of the bipolar transistor are plotted:

Example 2: PSP MOS Inverter
This example shows the simulation of a MOS inverter using the PSP model. First, create a folder psp_inverter that will be used for the circuit simulation.
In this folder, place the following files:
- the netlist shown below, together with the example modelcards. These files can be download here.
- the PSP compact model Verilog-A source files can be downloaded here.
The tree structure of your folder should then look like this:
├── psp_inverter
│ ├── PSP103.8.0_vacode
│ │ ├── **/*
│ ├── Modelcards
│ │ ├── psp103_nmos.mod
│ │ ├── psp103_pmos.mod
│ ├── psp_inverter.sp
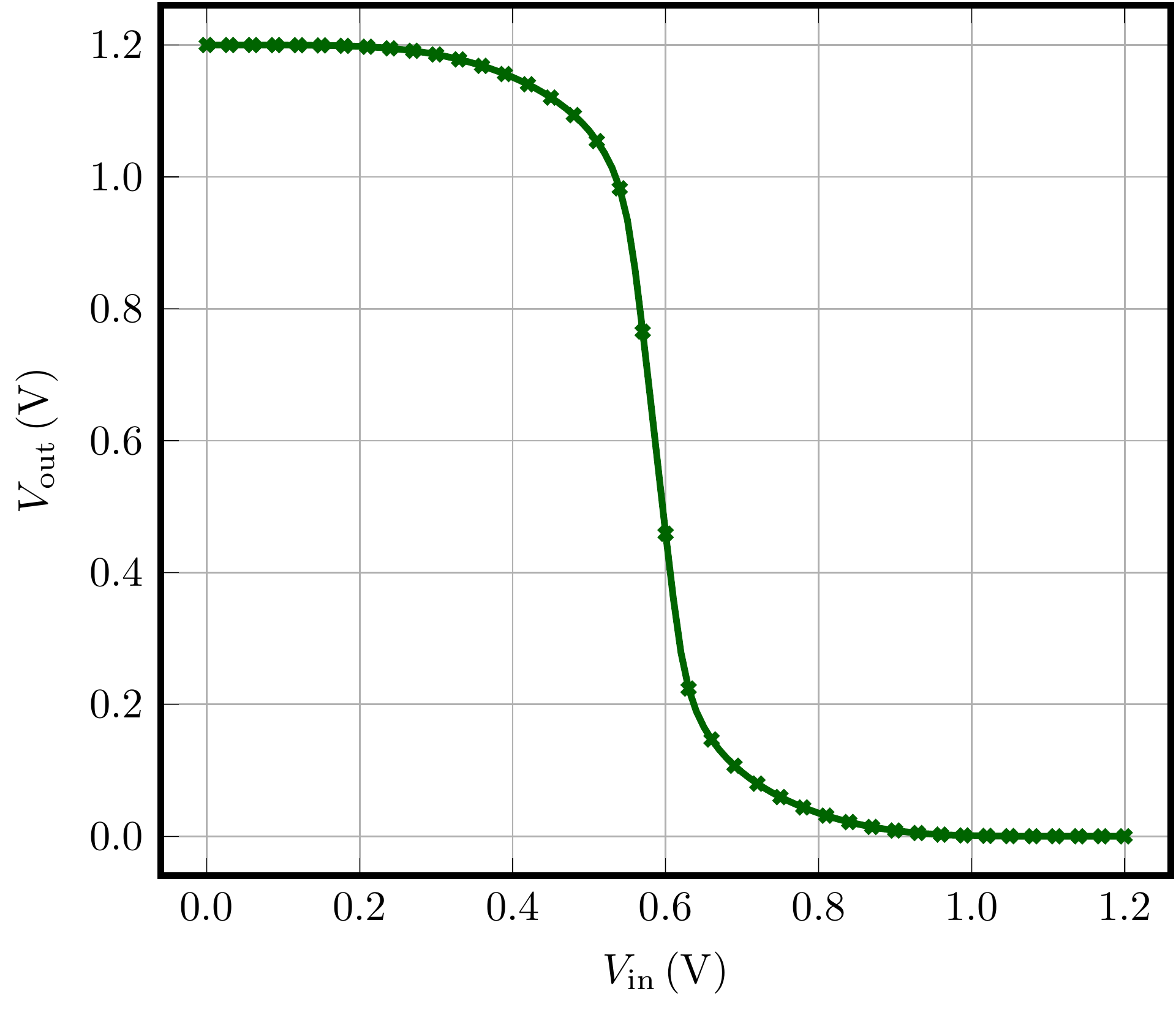
This is the content of psp_inverter.sp:
* PSP models
* simple inverter
.param Vcc = 1.2
.csparam vcc='Vcc'
* Path to the models
.include Modelcards/psp103_nmos.mod
.include Modelcards/psp103_pmos.mod
* the voltage sources:
Vdd vdd gnd DC 'Vcc'
V1 in gnd pulse(0 'Vcc' 0p 200p 100p 1n 2n)
Vmeas vss 0 0
Xnot1 in vdd vss out not1
*Rout out 0 1k
.subckt not1 a vdd vss z
*m01 z a vdd vdd pch l=0.1u w=1u as=0.26235 ad=0.26235 ps=2.51 pd=2.51
nmp1 z a vdd vdd pch
+l=0.1u
+w=1u
+sa=0.0e+00
+sb=0.0e+00
+absource=1.0e-12
+lssource=1.0e-06
+lgsource=1.0e-06
+abdrain=1.0e-12
+lsdrain=1.0e-06
+lgdrain=1.0e-06
+mult=1.0e+00
*m02 z a vss vss nch l=0.1u w=0.5u as=0.131175 ad=0.131175 ps=1.52 pd=1.52
nmn1 z a vss vss nch
+l=0.1u
+w=1u
+sa=0.0e+00
+sb=0.0e+00
+absource=1.0e-12
+lssource=1.0e-06
+lgsource=1.0e-06
+abdrain=1.0e-12
+lsdrain=1.0e-06
+lgdrain=1.0e-06
+mult=1.0e+00
c3 a vss 0.384f
c2 z vss 0.576f
.ends
* simulation command:
.tran 10ps 10ns
.dc V1 0 'vcc' 'vcc/100'
.control
pre_osdi PSP103.8.0_vacode/vacode/psp103.osdi
run
*set nolegend
plot in out
plot dc1.out
plot dc1.i(Vmeas)
rusage
.endc
.end
Next, cd into the folder and run the following commands
cd psp_inverter/PSP103.8.0_vacode/vacode/
openvaf psp103.va
This will compile the Verilog-A source file to psp103.osdi file for usage in Ngspice. Now, in the simulation folder, run
cd psp_inverter
ngspice psp_inverter.sp
to calculate and plot the inverter characteristics:



Example 3: ISCAS85 Benchmark Circuit
In this example the massive ISCAS85 benchmark circuit that is often used for benchmarking circuit simulators is simulated. First, create a folder iscas85_benchmark_circuit that will be used for the circuit simulation. In this folder place the following files:
- the netlist together with the example modelcards that can be download here.
- the PSP compact model Verilog-A source files can be downloaded here.
├── iscas85_benchmark_circuit
│ ├── PSP103.8.0_vacode
│ │ ├── **/*
│ ├── Modelcards
│ │ ├── psp103_nmos.mod
│ │ ├── psp103_pmos.mod
│ ├── iscas85_benchmark_circuit.sp
Next, cd into the folder and run the following commands
cd iscas85_benchmark_circuit/PSP103.8.0_vacode/vacode/
openvaf psp103.va
This will compile the Verilog-A source file to psp103.osdi file for usage in Ngspice. Now, in the simulation folder, run
cd iscas85_benchmark_circuit
ngspice iscas85_benchmark_circuit.sp
to see the results. Note that this is a very large circuit whose simulation may take a long time.